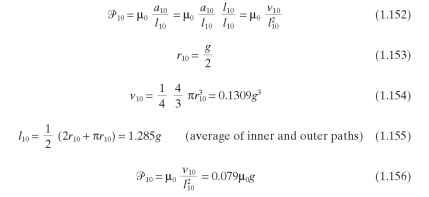
[tmp54093_thumb_thumb3.jpg]