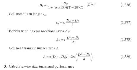
[tmp54F144_thumb3.jpg]